Selected Research Projects
Discourse Cohesion: Mapping How Conversations Evolve
Together with my co-authors, I developed a structure-aware embedding space to capture how online discourse forms and unfolds over time. We encoded interactions among key discourse characteristics — submission type, topic, stance, political positions, sentiment, politeness, and toxicity — using 231,042 comments from 36,384 threads on r/climate. (WIP: poster presented at IC2S2 2025).

How Wikipedia Edits Evolve — and What Drives Them
Using a novel, fine-grained approach, I analyzed 140,593 revisions of 76,525 sentences from 537 Wikipedia articles to uncover how collaborative content evolves. By reconstructing detailed revision sequences and extracting factors such as time, content, editor, and context, I examined how revision dynamics are shaped. The study reveals how epistemic power is negotiated through collective editing, as community moderation and bureaucratic rules guide which revisions persist.

NEOVEX: Detecting and Analyzing Conspiracy Theories at Scale
As part of the NEOVEX research project, I collaborated with colleagues to develop a graph-based dictionary expansion method for detecting domain-specific unknown keywords, based on a fine-tuned GloVe model for targeted data collection. Together, we built an eleven-year corpus of 32 million conspiracy theory–related posts on the Great Replacement and New World Order from social media, legacy media, and alternative media via large-scale scraping and API integration. To detect conspiracy narratives, I fine-tuned multiple BERT models and created custom NLP methods for this project, including entity recognition, dependency parsing, and both supervised and unsupervised text classification. This work supports large-scale analysis of conspiracy discourse across platforms, enabling deeper insights into misinformation dynamics and informing content moderation strategies.
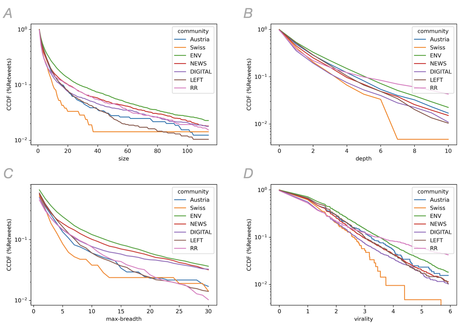
Diffusion Dynamics of #FridaysForFuture: Mapping Tweet Cascades and Communities
I inferred the early diffusion of the #FridaysForFuture based on 237,892 retweet sequences and the follower–following links of 51,803 participants. Using a top-down perspective, I examined how networks, tweets, and retweet cascades evolved, integrating both actor dynamics and content patterns to reveal how messages spread within and between communities in the movement’s formative stages.

Peer-Reviewed Journal Publications
-
Decoding revision mechanisms in Wikipedia: collaboration, moderation, and collectivities
Zhang, X. — New Media & Society, 2025
View Online | PDF -
LGDE: Local Graph-based Dictionary Expansion
Schindler, J., Jha, S., Zhang, X., Buehling, K., Heft, A., & Barahona, M. — Computational Linguistics, 2025
View Online | PDF -
Veiled conspiracism. Particularities and convergence in styles and functions of conspiracy-related communication across digital platforms
Buehling, K., Zhang, X., & Heft, A. — New Media & Society, 2025
View Online | PDF -
Diffusion Dynamics and Digital Movement: the Emergence and Proliferation of the German-speaking #FridaysForFuture Network on Twitter
Zhang, X. — Social Movement Studies, 2023
View Online | PDF -
Challenges of and approaches to data collection across platforms and time: Conspiracy-related digital traces as examples of political contention
Heft, A., Buehling, K., Zhang, X., Schindler D., & Milzner M. — Journal of Information Technology & Politics, 2023
View Online | PDF -
Mainstreaming Political Extremism: Intermediary Networks and Movement-Party Coordination of a Global Anti-immigration Campaign in Germany
Klinger, U., Bennett, L., Knüpfer, C., Martini, F., & Zhang, X. — Information, Communication and Society, 2022
View Online | PDF -
Understanding Digitally Networked Action: A Case Study of #HomeToVote and the Irish Abortion Referendum 2018
Zhang, X. — SCM Studies in Communication and Media, 2021
View Online | PDF